CARACTERIZAÇÃO TECNOLÓGICAS DOS QUARTZITOS DO ESTADO DO CEARÁ

Autores/as

Resumen

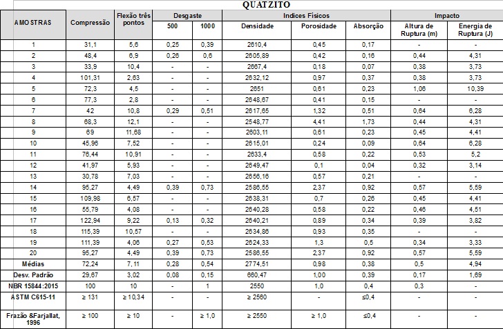
Este trabalho tem como objetivo apresentar a caraterização tecnológicas, em 20 amostras de quartzitos de ocorrências variadas e municípios do estado do Ceará, totalizando 11 localidades, a partir dos ensaios físico-mecânicos: Índices Físicos (porosidade, densidade e absorção d'água), resistência a flexão 3 pontos, resistência compressão, resistência ao impacto e resistência ao desgaste amsler, Por se tratar de uma rocha com características bastante exóticas, feições maciças e aspecto cromático, os quartzitos, vem se destacando no setor de rochas ornamentais. A caracterização físico-mecânicas das rochas ornamentais desempenham papel importante para classificar as condições da rocha e sua finalidade. Os resultados deste estudo foram comparados com valores limites sugeridos pelas normas e literatura: Associação Brasileira de Normas Técnicas – ABNT – NBR 1845:2015, American Society for Testing Materials – ASTM C 615-11 e Frazão e Farjallat (1996), que sugeriu valores para rochas ornamentais. Os ensaios apresentaram médias de compressão uniaxial, 72,24 MPa, flexão em três pontos, 7,11 MPa, absorção, 0,38%, porosidade aparente, 0,38%, densidade aparente, 2774,51 kg/m³, desgaste em 1000 m, 0,54 cm e impacto de corpo duro, 0,50 m. De um modo geral, os quartzitos do estado do Ceará apresentam valores relativos com os parâmetros das normas estabelecidas para o estudo, podendo assim ser utilizada em locais com grande fluxo de movimento, como shoppings, estações de metrôs, estações rodoviárias e aeroportos.

Descargas

Los datos de descargas todavía no están disponibles.

Biografía del autor/a

Luzia Suerlange Araujo dos Santos, Fundação Núcleo de Tecnologia Industrial do Ceará - NUTEC

Possui graduação em Geologia pela Universidade Federal do Ceará (2004) e mestrado em Geologia pela Universidade Federal do Ceará (2008). Atualmente é técnica da Fundação Núcleo de Tecnologia Industrial do Ceará, lotada no Laboratório de Rochas Ornamentais. Tem experiência na área de Geociências, com ênfase em Geologia Ambiental, atuando principalmente nos seguintes temas: geoquímica, veiculação hídrica, qualidade das águas e rochas ornamentais.

 

Wollker Cunha Soares, Fundação Núcleo de Tecnologia Industrial do Ceará - NUTEC

Possui graduação em Geologia - UFC (2012) e mestrado em Geodinâmica e Recursos Minerais - UFC (2016). Tem experiência na área de Geociências, com ênfase em Geologia Regional, atuando principalmente nos seguintes temas: rocha ornamental, mapeamento geológico e cartografia geológica. Atualmente é bolsista FUNCAP do Núcleo de Tecnologia Industrial do Ceará - NUTEC.

Roney Sérgio Marinho de Moura, Fundação Núcleo de Tecnologia Industrial do Ceará - NUTEC

Possui graduação em ENGENHARIA CIVIL pela Universidade de Fortaleza (1979). Atualmente é engenheiro civil da Fundação Núcleo de Tecnologia Industrial do Ceará. Tem experiência na área de Engenharia Civil, com ênfase em Materiais e Componentes de Construção.

Davi Aland Ferreira Gomes, Fundação Núcleo de Tecnologia Industrial do Ceará - NUTEC.

Estudante de graduação de Engenharia Civil, na UniCristus (8º semestre). Tem experiência na área de Engenharia Civil. Atualmente é estagiário de Engenharia Civil na Fundação Núcleo de Tecnologia Industrial do Ceará - NUTEC. 

José de Araújo Nogueira Neto, Faculdade de Ciência e Tecnologia (FCT), Campus de Aparecida de Goiânia - Universidade Federal de Goiás - UFG

Graduado em Geologia pela Universidade de Fortaleza (1980), especialização em Gemologia pela Universidade Federal de Ouro Preto (1981), especialização em Geociências na Universidade Federal do Pará (1984), doutorado em Geologia Regional pela Universidade Estadual Paulista Júlio de Mesquita Filho (2000) e pós-doutorado no Instituto Superior Técnico (IST) da Universidade Técnica de Lisboa (2007). Coordenador do Programa de Pós-Graduação em Geologia da Universidade Federal do Ceará (UFC) nos períodos de 2001-2003, 2008-2010 e 2012-2014. Coordenador do Curso de Especialização em Paleontologia e Geologia Histórica da UFC-Campus do Cariri (2010-2012). Professor Associado da UFC (1981-2015) e Professor Adjunto UFG (2016). Vice-Diretor da Faculdade de Ciências e Tecnologia (FCT) da Universidade Federal de Goiás (UFG) - Campus de Aparecida de Goiânia (CAP) (2016-2020). Desenvolve pesquisas na área de Geociências, com ênfase em: geoquímica, geocronologia, metamorfismo, mapeamento geológico, caracterização geológica e tecnológica de rochas e minerais com aplicação industrial e geomateriais.

Leonardo Corecco de Queiroz, GeoSystem - Engenharia, Geologia e Meio Ambiente

Geólogo formado pela Universidade Federal do Ceará (2016). Atua na área Geologia Ambiental, mais especificamente nos tópicos referentes a geologia sedimentar, dinâmica sedimentar, mapeamento geológico básico, hidrogeoquímica e hidrogeologia. Realiza ensaios de teste de bombeamento em poços tubulares e relatórios ambientais de modo geral (RAMA, PGRS, PRAD, dentre outros). Também possui experiência na área de Rochas Ornamentais, com ênfase em ensaios tecnológicos.

Citas

ABNT – Associação Brasileira de Normas Técnicas. no prelo. Rochas para revestimento: terminologia. Norma 15845/15 (Rochas para Revestimento - Métodos de Ensaio).

ALENCAR, Carlos Rubens Araujo, INSTITUTO EUVALDO LODI, 1969 - I59m Manual de caracterização, aplicação, uso e manutenção das principais rochas comerciais no Espírito Santo: rochas ornamentais / Instituto Euvaldo Lodi - Regional do Espírito Santo. Cachoeiro de Itapemirim/ES: IEL, 2013. 242 p. : il. color

ALMEIDA, F.F.M. 1977 O Cráton do São Francisco. Revista Brasileira de Geociências, 7: 349-364.

AMARAL W. S.; SANTOS T J.S.; WERNICK E.; NOGUEIRA NETO J. A.; DANTAS E. L., MATTEINI M. 2012: High-pressure granulites from Cariré, Borborema Province, NE Brazil: Tectonic setting, metamorphic conditions and U–Pb, Lu–Hf and Sm–Nd geochronology – Gondwana Research (2012) doi:10.1016/j.gr.2012.02.011.

ARAI M.A. 2006. Grande elevação eustática do Mioceno e sua influência na origem do Grupo Barreiras. São Paulo, Geologia USP (Série Científica), 6(2):1-6.

AIRES-BARROS L. As rochas dos monumentos portugueses. Tipolugia a Patologias. Volume 1. Lisboa, Instituto Português do Patrimônio Arquitetônico, 590 p., 2001.

ARTHAUD, M.H. 2008. Evolução neoproterozóica do Grupo Ceará (Domínio Ceará Central, NE Brasil): da sedimentação à colisão continental brasiliana. Tese de Doutorado, Instituto de Geociências, Universidade de Brasília, Brasil.

ARTHAUD, M.H. Geologia e tectônica no Domínio Ceará Central. Qualificação ao Doutorado em Geologia, Programa de Pós-Graduação em Geologia, Instituto de Geociências, Universidade de Brasília (UnB), 270 pp., 2005.

ASTM, 1992 – American Society for Testing and Materials. C615/C615M – 11. Standard Specification for Granite Dimension Stone.

BESSA, M. F., 2004. Rochas ornamentais do nordeste do Ceará (Brasil). Propriedades tecnológicas, alterações e alterabilidade dos granitos Vermlho Filomena, Meruoca Clássico e Verde Ceará. Tese de Doutorado – Instituto Superior Técnico de Lisboa, Universidade Técnica de Lisboa. 274p.

BRITO NEVES B.B., DOS SANTOS E.J., VAN SCHMUS W.R. 2000. Tectonic History of the Borborema Province, Northeastern Brazil. In: Cordani U., Milani E.J., Thomaz Filho A., Campos D.A. (eds.) Tectonic Evolution of South America. 31st International Geological Congress. Rio de Janeiro, p. 151-182.

BRITO NEVES B.B. 1983. O mapa geológico do Nordeste oriental do Brasil, escala 1/1.000.000. Tese de Livre Docência, Insituto de Geociência, Universidade de São Paulo, São Paulo, 177 p.

CABY, R.; ARTHAUD M. H.; ARCHANJO C. J. 1995 – Lithostratigraphy and petrostructural characterization of supracrustal units in the Brasiliano Belt of Northeast Brazil: geodynamic implications. J. South Amer. Earth Sciences, Barking Essex, n. 8, p. 235-246.

CABY, R.; ARTHAUD M. H. 1986 Major Precambrian nappes of the Brazilian Belt. Ceará, Northeast Brazil. Geology, Boulder, n. 14, p. 871-874,.

CAVALCANTE J.C.; VASCONCELOS; A. M.; GOMES; F.E.M. 2003. Mapa geológico do Estado do Ceará, escala 1:500.000. Brasília, Ministério de Minas e Energia/ Companhia de Pesquisa de Recursos Minerais (MME/CPRM).

CAVALCANTE, J.C. 1999. Limites e evolução geodinâmica do Sistema Jaguaribeano, Província Borborema, Nordeste do Brasil. Dissertação de Mestrado, Universidade Federal do rio Grande do Norte.

DANTAS, E.L., VAN SCHMUS, W.R., HACKSPACHER, P.C, FETTER, A.H., BRITO NEVES, B.B., CORDANI, U., NUTMAN, A.P., WILLIAMS, I.S. 2004. The 3.4-3.5 Ga São José do Campestre massif, NE Brazil: remnants of the oldest crust in South America. Precambrian Research, 130: 113-137.

DUARTE, M. C. A. O. Características físico-mecânicas de rochas ornamentais portuguesas. Relatório de estágio – Licenciatura em Engenharia Geológica. Universidade Nova de Lisboa, 2003.

FIGUEREDO, P. M. S. L. R., 1997. Estudo Tecnológico das Rochas Calcárias de Lisboa(Jurássico e Cretássio). Tese de doutaramento. IST. Lisboa. 179p.

FRASCÁ, M. H. B. O. – Caracterização Tecnológica de Rochas Ornamentais e de Revestimento: Estudo por Meio de Ensaios e Análises e das Patologias Associadas ao Uso. III Simpósio de Rochas Ornamentais do Nordeste, 2002, Recife. III Simpósio de Rochas Ornamentais do Nordeste - Curso de rochas ornamentais. Rio de Janeiro: Cetem/MCT, 2002.

FRASCÁ, M. H. B. O. Qualificação de rochas ornamentais e para revestimento de edificações: caraterização tecnológica e ensaios de alterabilidade. In: I Simpósio Brasileiro de Rochas Ornamentais do Nordeste, 2001, Salvador. Anais – I Simposio Brasileiro de Rochas Ornamentais / II Seminário de Rochas Ornamentais do Nordeste. Rio de Janeiro: CETEM/MCT, 2001.

FRAZÃO, E. B. e FARJALLAT, J. E. S., 1996. Proposta de especificação para rochas silicáticas de revestimento. In: Congresso Brasileiro de Geologia de Engenharia, 8 Rio de Janeiro, ABGE, V. 1. p.369-380.

ISRM, Sugested Methods for the Quantitative Description of Discontinuites in Rock Masses. In: Int. J. Rock Mech. Min. Sci. & geomech. Abstr. 15.

MARTINS, G. Litogeoquímica e controles geocronológicos da Suíte Metamórfica Algodões-Choró. 218 f. Dissertação (Mestrado) - Instituto de Geociências. Universidade Estadual de Campinas, Campinas, 2000.

MONT'ALVERNE, A.A.F., JARDIM DE SA, E.F., DERZE, G.R., DANTAS, J.R.A., VENTURA, P.E.O., 1998. Mapa Geologico do Rio Grande do Norte e 1:500.000. DepartamentoNacional da Produç~ao Mineral/Universidade Federal do Rio Grande do Norte/PETROBRAS/CRM.

NOGUEIRA NETO, J. A.; MAGINI, C.; SANTOS, T. J. S.; PRAXEDES, I. F.; CARNEIRO, A. A. 2014. Carta geológica Folha SA.24-Y-C-III Granja, Estado do Ceará, escala 1:100.000. Brasília, Ministério de Minas e Energia/ Companhia de Pesquisa de Recursos Minerais (MME/CPRM)/ Secretaria de Geologia, Mineração e Transformação mineral/ Universidade Federal do Ceará - UFC.

NOGUEIRA NETO J.A. 2000. Evolução Geodinâmica das faixas granulíticas de Granja e Cariré, extremo noroeste da Província Borborema. PhD Thesis, Instituto de Geociências e Ciências Exatas, Universidade Estadual Paulista, 171 p.

PARENTE, C.V.; ALMEIDA, A.R.; ARTHAUD, M.H. 2008. Itatira- SB.24-V-B-V, escala 1:100.000: nota explicativa integrada com Quixeramobim e Boa Viagem -Ceará: UFC/CPRM. Companhia de Pesquisa de Recursos Minerais-CPRM/Serviço Geológico do Brasil.

PARAHYBA, R. E. R.; CAVALCANTI, V. M. M.; PERLATTI, F. Mineração no Semiárido Brasileiro. Brasília: DNPM, 2009. 201p.

PESSOA, R. R.; ARCHANJO, C. J. 1984. Tectônica de empurrões na região de Tróia-CE. CONGRESSO BRASILEIRO DE GEOLOGIA, 33., Rio de Janeiro. Anais... Rio de Janeiro: SGB, 1984. p. 1721-1728.

SANTOS, T.J.S.; FETTER, A.H.; VAN SCHMUS, W.R. & HACKSPACHER, P.C. (2009). Evidence for 2.35 to 2.30 Ga juvenile crustal growth in the northwest Borborema Province, NE Brazil In: Palaeoproterozoic Super-continents and Global Evolution (Reddy, S.M.; Mazumder, R.; Evans, D.A.D.; Collins, A.S.; Eds.), Geological Society, London, Special Publications, 323: 271–281.

SANTOS T.J.S., FETTER A.H., HACKSPACHER P.C., VAN SCHMUS W.R., NOGUEIRA NETO J.A. 2008. Neoproterozoic tectonic and magmatic episodes in the NW sector of Borborema Province, NE Brazil, during assembly of Western Gondwana. Journal of South American Earth Sciences, 25:271-284.

SANTOS, D. A. ; GURGEL, M. T.; MOTA, A. F.; PAIVA, F. I. G. 2014. Extração mineral de quartzito e sua aplicabilidade na construção civil na cidade de várzea – PB, HOLOS, volume 4 – pag 95.

SILVA, A.J.F.; AZEVEDO, M.R.; VALLE AGUADO B.; NOGUEIRA NETO, J.A.; SANTOS, T.J.S.; SILVA, F.D.O. 2014. Petrographical and geochemical signatures of the Granja paragneisses (Médio Coreaú Domain, NW Ceará, Brasil). Estudios Geológicos 70(2): e014. http://dx.doi.org/10.3989/egeol.41750.326.

SUGUIO K., NOGUEIRA A.C.R. 1999. Revisão crítica dos conhecimentos geológicos sobre a Formação (ou Grupo?) Barreiras do Neógeno e o seu possível significado como testemunho de alguns eventos geológicos mundiais. São Paulo, Revista Geociências, 189(2):461-479.

TORQUATO J.R., NOGUEIRA NETO J.A. 1996. Historiografia da Região de Dobramentos do Médio Coreaú. Fortaleza, Revista Brasileira de Geociências, 26(4):303-314.

VAN SCHMUS, W.R., BRITO NEVES, B.B., WILLIAMS, L.S., HACKSPACHER, P.C., FETTER, A.H., DANTAS, E.L., BABINSKI, M., 2003. The Serido Group of NE Brazil, a late pre- to syncollisional basin inWest Gondwana: insights from SHRIMP UePb detrital zircon ages and SmeNd crustal residence (TDM) ages. Precambrian Res. 127, 287e327.

Publicado

2018-05-22

Número

Sección

Artigos